信息类别:
          
            
              县政府文件
            
          
          
            
           
        
        
          文件编号:
          德府字〔2022〕72号
        
        公开方式:
            
              
            
            
              
                主动公开
              
            
        
        
          生成日期:
          2022-11-25
        
        
          
        
        
          
         
        
          公开时限:
          
            
          
          
            
              常年公开
            
           
        
        
          公开范围:
            
              
            
            
              
                面向全社会
              
             
        
        
          
            信息索取号:
            000014349/2022-04056
          
          
        
          
            责任部门:
            德安县政府办
          
        
    
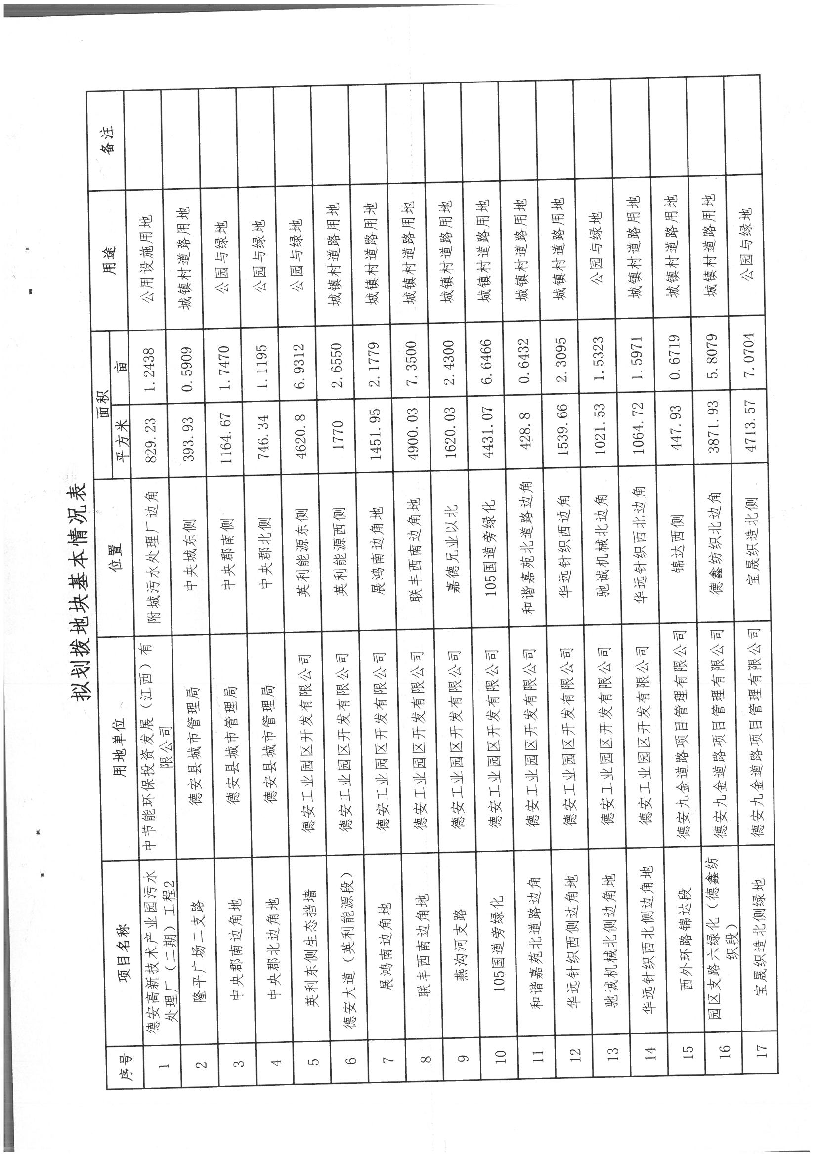
         德安县人民政府关于同意办理德安高新技术产业园污水处理厂(二期)工程等三十宗划拨用地手续的批复 
        
               
                 来源: 
                 发布时间: 2022-11-25 12:00  
              
              
              
             
      
          
         
          
            
                  
德安县自然资源局: 
你局呈报的《关于办理德安高新技术产业园污水处理厂(二期)工程等三十宗划拨用地手续的请示》(德自然资字〔2022〕130号)已收悉。经县政府研究决定,同意对该三十宗建设项目用地办理无偿划拨用地手续。
特此批复。
2022年11月25日 




德安县人民政府办公室                                           2022年11月25日印发