 
 
                
          德安县文化广电新闻出版旅游局部门
2020年度部门决算
目 录
第一部分 德安县文化广电新闻出版旅游局部门概况
一、部门主要职责
二、部门基本情况
第二部分 2020年度部门决算表
一、收入支出决算总表
二、收入决算表
三、支出决算表
四、财政拨款收入支出决算总表
五、一般公共预算财政拨款支出决算表
六、一般公共预算财政拨款基本支出决算表
七、一般公共预算财政拨款“三公”经费支出决算
表
政府性基金预算财政拨款收入支出决算表
国有资本经营预算财政拨款支出决算表
十、国有资产占用情况表
第三部分 2020年度部门决算情况说明
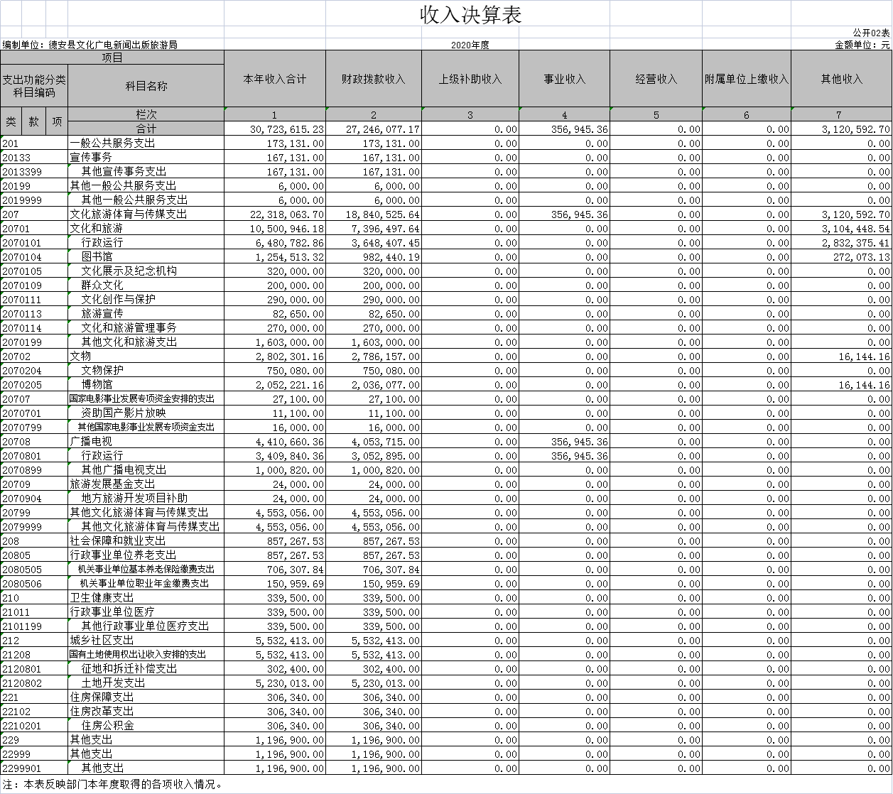
一、收入决算情况说明
二、支出决算情况说明
三、财政拨款支出决算情况说明
四、一般公共预算财政拨款基本支出决算情况说明
五、一般公共预算财政拨款“三公”经费支出决算
情况说明
六、机关运行经费支出情况说明
七、政府采购支出情况说明
八、国有资产占用情况说明
九、预算绩效情况说明
第四部分 名词解释
第一部分 德安县文化广电新闻出版旅游局部门概况
一、部门主要职能
(一)贯彻执行党和国家关于文化、广播影视、新闻出版和旅游法律、法规、规章
和方针政策,起草文化、广播影视、新闻出版和旅游规范性文件。
(二)统筹规划全县文化、广播影视、新闻出版、旅游事业和产业发展,拟订发展
规划并组织实施,推进文化和旅游融合发展,推进文化和旅游体制机制改革。
(三)管理全县性重大文化、广电、新闻出版和旅游活动,指导全县重点文化广电
新闻出版旅游设施建设,组织全县旅游整体形象推广,促进文化、旅游产业对外合
作和市场推广,制定旅游市场开发战略并组织实施,指导、推进全域旅游。指导协
调假日旅游和红色旅游工作。
(四)指导、管理全县文艺事业,指导艺术创作生产,扶持体现社会主义核心价值
观、具有导向性代表性示范性的文艺作品,推动各门类艺术、各艺术品种发展。
(五)负责公共文化事业发展,推进全县公共文化服务体系建设和旅游公共服务建
设,深入实施文化惠民工程,规划、指导基层文化设施建设,统筹推进基本公共文
化服务标准化、均等化。
(六)指导、推进全县文化和旅游科技创新发展,推进文化和旅游行业信息化、标
准化建设。
(七)负责全县非物质文化遗产保护,推动非物质文化遗产的保护、传承、普及、
弘扬和振兴。
(八)统筹规划全县文化广电新闻出版产业和旅游产业,组织实施文化广电新闻出
版和旅游资源普査、挖掘、保护和利用工作,促进文化广电新闻出版产业和旅游产
业发展。
(九)指导全县文化广电新闻出版和旅游市场发展,实施依法设定的行政权力事
项,对文化广电新闻出版和旅游市场经营进行行业监管,推进文化广电新闻出版和
旅游行业信用体系建设,依法规范文化广电新闻出版和旅游市场。
(十)指导全县文化广电新闻出版旅游市场综合执法工作,组织查处全县性、跨区
域文化、文物、出版、广播电视、电影、旅游等市场的违法行为,督查督办大案要
案,维护市场秩序。
(十一)指导、管理全县文化广电新闻出版和旅游对外及港澳台交流、合作和宣
传、推广工作,组织大型文化和旅游对外及港澳台交流活动,推动文化走出去。
(十二)指导、管理全县文物保护、文物考古、文物和博物馆公共服务体系建设工
作,组织开展文物、博物馆安全督察工作,负责文化遗产保护和管理的监督工作。
(十三)负责对全县各类广播电视机构进行业务指导和行业监管,会同有关部门对
网络视听节目服务机构进行管理;监督管理、审查广播电视节目、网络视听节目的
内容和质量,指导、监管广播电视广告播放;负责对全县广播电视节目传输覆盖、
监测和安全播出进行监管;指导、推进全县应急广播体系建设;推进广电网与电信
网、互联网三网融合。
(十四)负责对报刊出版活动(含内部资料性出版物)的监管工作;负责联系、指
导对从事出版活动民办机构的监管工作;负责全县农家书屋的管理工作;归口管理
全县著作权工作,负责全县数字网络版权监管工作;监督管理全县软件正版化工作。
(十五)负责电影放映市场和电视剧行业创作生产管理,研究拟定制度并监管实
施,管理全县电影放映市场。
(十六)指导文化艺术、广播影视、网络视听、新闻出版、旅游人才队伍建设;组
织实施全县文化广电新闻出版旅游人才教育培训,指导实施全县文化广电新闻出版
旅游从业人员的职业资格标准和等级标准。
(十七)负责组织、指导、协调全县“扫黄打非”工作,组织查处大案要案,承担
全县“扫黄打非”工作领导小组日常工作。
(十八)承办县委、县政府交办的其他事项。
二、部门基本情况
纳入本套部门决算汇编范围的单位共6个,包括:德安县文化广电新闻出版旅游局、
德安县文化馆、德安县广播电视台、德安县图书馆、德安县博物馆、德安县书画院
(需按单位预算级次分别列出)。
本部门2020年年末实有人数71人,其中在职人员71人,离休人员0人,退休人员61
人;年末其他人员1人;年末学生人数0人。
第二部分 2020年度部门决算表










第三部分 2020年度部门决算情况说明
一、收入决算情况说明
本部门2020年度收入总计3134.38万元,其中年初结转和结余332.69万元,较2019年
增加1029.71万元,上升48.93%;本年收入合计3467.07万元,较2019年增加854.48
万元,增长32.71%,主要原因是:项目支出增加。
本年收入的具体构成为:财政拨款收入2774.62万元,占88.52%;事业收入35.69万
元,占1.14%;经营收入0万元,占0%;其他收入324.07万元,占10.34%。
二、支出决算情况说明
本部门2020年度支出总计3467.07万元,其中本年支出合计2994.41万元,较2019年
增加714.51万元,增长31.33%,主要原因是:项目支出增加,其他收入增加;年末
结转和结余472.66万元,较2019年增加139.97万元,上升42.07%,主要原因是:上
年结转增加。
本年支出的具体构成为:基本支出1859.36万元,占62.09%;项目支出1135.05万
元,占37.91%;经营支出0万元,占0%;其他支出(对附属单位补助支出、上缴上级
支出)0万元,占0%。
三、财政拨款支出决算情况说明
本部门2020年度财政拨款本年支出年初预算数为996.59万元,决算数为2876.87万
元,完成年初预算的288.67%。其中:
(一)一般公共服务支出年初预算数为6.6万元,决算数为17.31万元,完成年初预
算的262.27%。
(二)文化旅游体育与传媒支出774.56万元,决算数为2030.58万元,完成年初预算
的262.16%。
(三)社会保障和就业支出53.42万元,决算数为88.88万元,完成年初预算的
166.38%。
(四)卫生健康支出23.13万元,决算数为35.12万元,完成年初预算的151.84%。
(五)城乡社区支出年初预算数0万元,决算数553.24万元,完成年初预算的100%。
(六)住房保障支出19.19万元,决算数为32.04万元,完成年初预算的166.96%。
(七)其他支出119.69万元,决算数为119.69万元,完成年初预算的100%。
四、一般公共预算财政拨款基本支出决算情况说明
本部门2020年度一般公共预算财政拨款基本支出1859.36万元,其中:
(一)工资福利支出1075.61万元,较2019年增加103.31万元,增长10.63%,主要原
因是:津补贴、养老保险、绩效工资、基本工资、医疗保险支出增加。
(二)商品和服务支出373.59万元,较2019年增加10.78 万元,增长2.97%,主要原
因是:费用增加。
(三)对个人和家庭补助支出78.81万元,较2019年增加31.72万元,增长67.36%,
主要原因是:支出增加。
(四)资本性支出1466.4万元,较2019年增加568.69万元,上升63.34%,主要原因
是:项目支出增加。
五、一般公共预算财政拨款“三公”经费支出决算情况说明
本部门2020年度一般公共预算财政拨款“三公”经费支出年初预算数为28.7万元,
决算数为13.96万元,完成预算的48.64%,决算数较2019年增加6.46万元,增长85.89%,其中:
(一)因公出国(境)支出年初预算数为0万元,决算数为0万元,决算数较2019年
无变化。决算数较年初预算数未有增减。全年安排因公出国(境)团组0个,累计0人次。
(二)公务接待费支出年初预算数为25.2万元,决算数为13.59万元,完成预算的
53.93%,决算数较2019年增加6.68万元,增长96.67%,主要原因是开展各项文体活
动,公务接待支出增加。全年国内公务接待158批,累计接待1293人次,其中外事接
待0批,累计接待0人次,主要为:考察交流学习。
(三)公务用车购置及运行维护费支出3.5万元,其中公务用车购置年初预算数为0
万元,决算数为0万元,完成预算的100%,决算数较2019年无变化,主要原因是未购
置公务用车。公务用车运行维护费支出年初预算数为3.5万元,决算数为0.38万元,
完成预算的10.86%,决算数较2019年减少0.21万元,下降35.59%,主要原因是支出
减少。
六、机关运行经费支出情况说明
本部门2020年度机关运行经费支出459.29万元(与部门决算中行政单位和参照公务
员法管理事业单位一般公共预算财政拨款基本支出中公用经费之和一致),上年决
算数减少66.89万元,降低12.71%,主要原因是:费用支出减少。
七、政府采购支出情况说明
本部门2020年度政府采购支出总额215.43万元,其中:政府采购货物支出34.84万元、政府采购工程支出0万元、政府采购服务支出180.59万元。授予中小企业合同金额0万元,占政府采购支出总额的0%,其中:授予小微企业合同金额0万元,占政府采购支出总额的0%。(省级部门公开的政府采购金额的计算口径为:本部门纳入2020年部门预算范围的各项政府采购支出金额之和,不包括涉密采购项目的支出金额。)
八、国有资产占用情况说明。
截止2020年12月31日,本部门(单位)国有资产占用情况见公开10表《国有资产占
用情况表》。其中车辆中的其他用车主要是公务用车。
九、预算绩效情况说明
根据预算绩效管理要求,我局组织对2020年度一般公共预算项目支出全面开展绩效自评。自评结果如下:



第四部分 名词解释
名词解释应以财务会计制度、政府收支分类科目以及部门预算管理等规定为基本说明,
可在此基础上结合部门实际情况适当细化。“三公”经费支出和机关运行经费支出口径
必需予以说明。
一、收入科目
(一)财政拨款收入:指当年县财政拨款资金。
(二)事业收入:指事业单位开展专业业务活动及辅助活动取得的收入。
(三)其他收入:指“财政拨款收入” “事业收入”以外的收入。
(四)上年补助收入:反映事业单位从主管部门和上级单位取得的非财政补助收入。
(五)上年结转和结余:填列2019年全部结转和结余的资金数,包括当年结转结余资金和历年滚存结转结余资金。
二、支出科目
(一)一般公共服务支出:反映行政单位的基本支出。
(二)行政运行:反映行政单位的基本支出。
(三)事业支出:反映事业单位的基本支出。
(四)其他财政事务支出:反映除上述项目以外的其他财政事务方面的支出。
(五)中专教育支出:反映各部门举办的各类中等专业学校的支出。
(六)社会保障和就业支出:反映政府在社会保障和就业方面支出。
(七)归口管理的行政单位离退休支出:反映用于行政单位离退休方面的支出。
(八)事业单位离退休支出:反映用于事业单位离退休方面的支出。
(九)行政事业单位医疗支出:反映政府医疗卫生与计划生育管理方面的支出。
(十)“三公”经费支出:用于因公出国(境)、公务用车购置及运行和公务接待等方面
的支出。其中,因公出国(境)费反映单位工作人员公务出国(境)的住宿费、旅费、伙食补
助费、杂费、培训费等支出;公务用车购置及运行费反映单位公务用车购置费及租用
费、燃料费、维修费、路桥费、保险费、安全奖励费用等支出;公务接待费反映单位按
规定开支的各类公务接待(含外宾接待)支出。
(十一)机关运行经费支出:机关运行经费包括为保障行政单位(含参照公务员法管理事
业单位)运行用于购买货物和服务的各项资金,包括办公及印刷费、邮电费、差旅费、会
议费、福利费、日常维修费、专用材料及一般设备购置费、办公用房水电费、办公用房
取暖费、办公用房物业管理费、公务用车运行维护费以及其他费用。
(十二)住房公积金支出:反映行政事业单位按人力资源和社会保障部、财政部规定的
基本工资和津补贴以及规定比例为职工缴纳的住房公积金。