 
 
                
          为进一步提振市场主体消费信心,促进县域经济消费回补,激发市场主体经济活力,释放促消费政策红利,增强德安县经济发展的内生动力,同时也是响应《国务院关于印发〈推动大规模设备更新和消费品以旧换新行动方案〉的通知》以及《江西省人民政府关于印发〈江西省推动大规模设备更新和消费品以旧换新实施方案〉的通知》等文件精神号召,激发绿色、智能家电消费活力,以家电能效升级促进家电“以旧换新”,满足我县人民群众对绿色、智能家电消费升级的需求,德安县商务局联合县内各大家电销售企业开展一系列家电专项消费补贴+以旧换新补贴活动。具体活动方案如下:
一、活动主题
“遇见德安·惠享生活”/“焕新家电•千万惠民”
二、活动时间
2024年5月31日-6月10日
三、组织机构
指导单位:德安县商务局
主办单位:德安县现代家电超市、德安县四平家电有限责任公司、德安县京东家电等
四、补贴对象
自愿参与的德安县居民(含外地临时在德人员)。
五、参与方式
请有家电购买或更换需求的人员通过二维码及时报名,报名成功后在规定时间内到店购买。
1、现代家电报名二维码

2、四平家电报名二维码

六、各门店地址及联系方式
1、德安县现代家电超市
地址:德安县义峰路汇龙广场现代家电
对接人:刘梁绪13807920897
2、四平电器德安县缤纷大街店
地址:德安县义峰路缤纷购物广场四平家电
对接人:晏勇飞18670131910
3、德安县京东家电缤纷店
地址:德安县义峰路51号
对接人:曹经理 13627024818
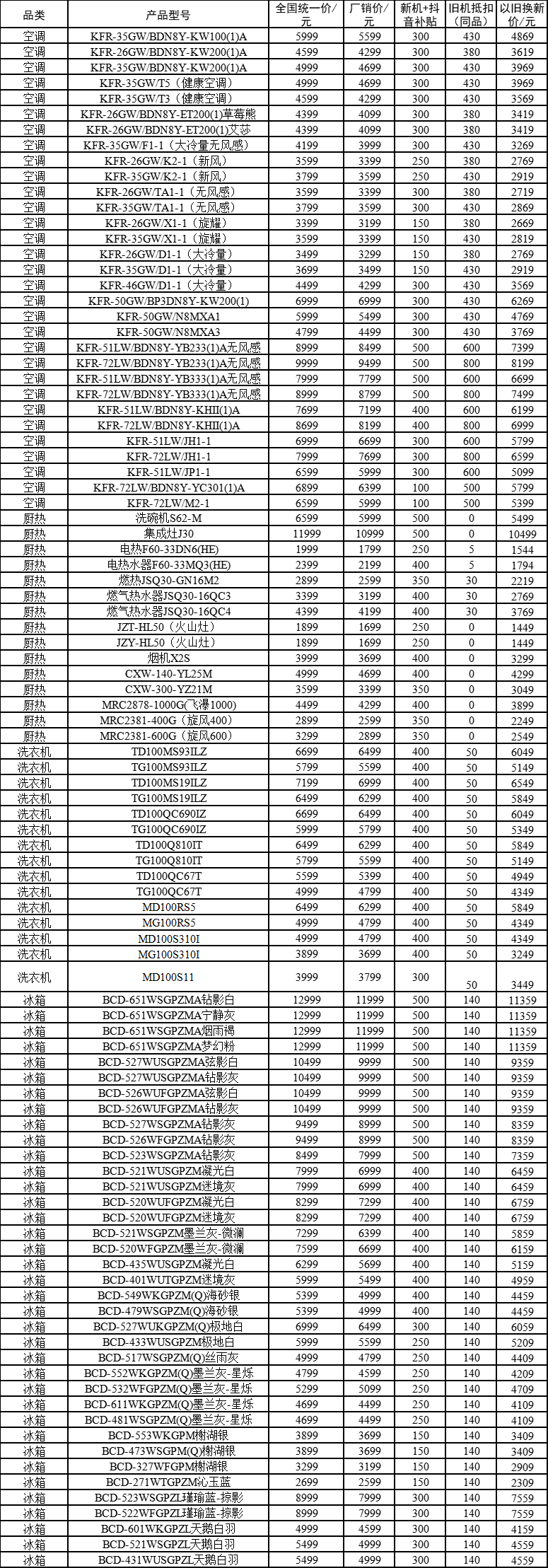
现代家电部分产品补贴情况表

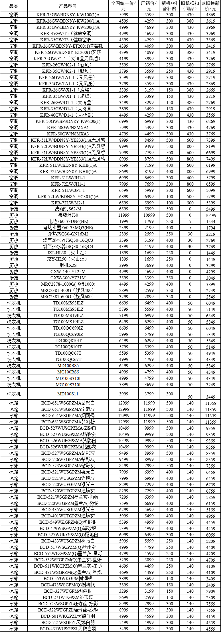
四平家电部分热门产品补贴价格
